I’m actually not fully here today
lets kill him
- ok
- no
0
voters
still here?
- here
- no
0
voters
I’m not here you can’t hear me
efffssggg
- awswwsaas

- eessffgggefffss

0
voters
ashafhfdhafdhl ![]()
poll
- poll option
- no
0
voters
still here?
- still
- here
0
voters
witchhunt the ursuper, i shall not take no for an answer
- drive stakes into their heart
- burn them at the fire
- drown them and see if they sink
- smite them with the sun
- curse them with a potent ailment
- split them asunder
- show them the holy light
- let them face the reaper
- rip them into a thousand pieces
- reduce them to nothing and let them be returned to the dust of our forefathers
- holy shit you may be overreacting
0
voters
Who?
Buzzsaw
I see
Were you here, yesterday?
- Yeah
- No
0
voters
no poll lol
- Morlock
- Nero Caesar Salad
- Mura
- Durza
0
voters
do you have a faith
- yeah
- no
- why are you asking
0
voters

- 1
- 3
- 9
- Nonexistent
0
voters
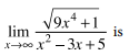
Solve ![]()
we’re not doing your homework for you
