Note: This document is better read through the Google Document. Heavy formatting constraints here.
The following are notes on a topic that does not require a full analysis. For the practical use of this document, use this Desmos calculator that will automatically solve the optimal allocation of Power and Pierce, given EP and enemy level.
1. Summary
These technical notes describe the methodology to optimize damage in PVE combat scenarios. Specifically, this will talk about the ratio of Power to Pierce that will maximize damage, given an initial EP.
2. Problem Definition
Since PVE combat is quite easy in most cases, the only realistic attribute to optimize is damage output. Defense can be useful for surviving an occasional hit, or tanking hits. However, NPCs are easy to dodge or cheese without concern for being hit.
In PVE and PVP alike, the Pierce gear stat provides extra damage and increased penetration through enemy blocking and parrying. Since Power is additive to damage, and Pierce is a multiplicative factor in damage, there exists an optimal mix of Power and Pierce to maximize damage.
The problem therefore is to determine the optimal allocation of Power and Pierce that maximizes damage output in PVE.
3. Pierce Stat
The extra damage gained by Pierce against players is negligible. In almost all cases—including those considering blocking and parrying—the damage increase from Pierce is completely outweighed by the increase from Power.
Against NPCS, the formulas for damage increase is

where P denotes the percentage of Pierce gained through gear stats. Against bosses and minibosses, the multiplier is 1/12 instead of 1/4.
Additionally, Pierce benefits damage through blocking and (less so) parrying. The rate at which an NPC parries (excluding bosses and NPCs under level 80) is dependent on their level. Under level 80, NPCs do not block, parry or dodge at all.
The equation that yields the percentage P given a Pierce allocation pierce and level cap L is
The rate at which an NPC blocks is given by the formula
where block represents the blocking rate and L represent the enemy’s level. This value is clamped between 10% and 50%. The blocking rate is determined after parries, so the value considers the chance of parrying in the rate as well.
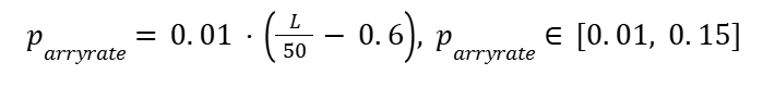
The rate at which an NPC parries is given by the formula

where parry represents the parrying rate, clamped between 1% and 15%.
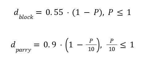
The damage reduced by blocking and parrying accounting for Pierce is given by the formulas
With a maximum of 100% block or parry penetrated.
4. Optimal Allocations for Power and Pierce
To optimize damage, an equation for damage must be derived and maximized.
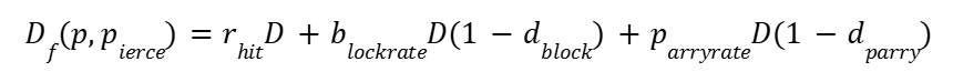
The rate at which the hit is not blocked or parried is given by

Adding all prior equations yields a formula for damage output Df

Given an initial EP, the condition that must be satisfied is given by the equation

Rearranging to solve for pierce yields

This represents that for every value of p, there is a corresponding value of pierce given EP. As a result, the player’s allocation of Power and Pierce can be represented by a single continuous variable p. This reduces the formula for damage through parameterization by one variable.
Using this formula for damage, a maximum can be found. Differentiating Df will not consistently yield a maximum point, due to the behavior of the function itself. As such, this Desmos calculator will automatically solve the optimal allocation of Power and Pierce, given EP and enemy level.


