This analysis is better read through the Google Document.
The following are notes on a topic that does not require a full analysis. For the practical use of this document, use this Desmos calculator that will automatically solve the optimal allocation of Dexterity and Range, given initial parameters.
1. Summary
These technical notes investigate two stats that contribute to how much time it takes to land a projectile hit. Dexterity reduces startup, while Range reduces airtime. There exists an optimal balance of the two stats to minimize total projectile time, given an amount of Efficiency Points (EP).
2. Problem Definition
In build optimization, a challenge comes up on what values of Dexterity and Range to invest in. Both contribute to hit consistency in general, but one of the metrics in build optimization that is often useful is measuring or minimizing the time it takes for a projectile to hit a target, to determine if certain moves are feasible in PVP.
The problem brought up is therefore determining the optimal allocation of Dexterity and Range to minimize the total time spent between using the projectile move and hitting the target.
3. Dexterity
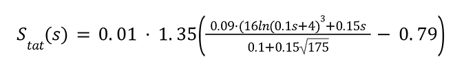
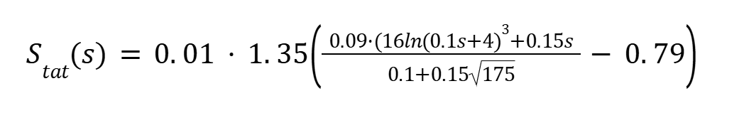
The general formula for gear stat to percentage is given by
Dexterity scales at 55% efficiency, and range scales at 80%, meaning Dex(d) = 0.55*Stat(d) and Range(r) = 0.8*Stat(r).
Dexterity decreases the startup and endlag of moves. Most commonly from the Sunken Warrior set, the Brisk enchant, and the Hasty enchant.
In this problem Dexterity reduces startup. The base dexterity affinity (separate from Dexterity given through the gear stat) is denoted dexAffinity. This refers to the base speed of a weapon or magic, i.e., Shadow imbuement has a dexAffinity of 1.1, and imbuing a Sunken Sword with Shadow magic has a resulting affinity of 1.32.
Given startup time tstart and dexterity gear stat d, the new startup modified by Dexterity is
In cases where the projectile used is a spell, dexAffinity = 0.
4. Range
Given a distance dist in studs from the player to the target, and the base speed of the projectile (for example blast has a base speed of 144 studs/second), it’s possible to find the airtime of the projectile before hitting the target.
rangeAffinity and Range(r) increase the projectile speed multiplicatively. As such, the speed after applying range multipliers is given by
The airtime of the projectile using this new speed variable and distance is
5. Calculations and Results
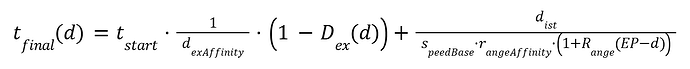
Defining a given EP constrains the stat allocation between Range and Dexterity. Using this constraint, the parameters can be represented with one continuous variable representing all allocation possible pairs.

Given this, the final equation that represents the total time that will be minimized is
Using this formula for time, a minimum can be found through differentiating, but will not always yield a feasible minimum point, due to the behavior of the equation itself. As such, this Desmos calculator will automatically solve for the optimal allocation of the Dexterity and Range, given initial parameters that can be found here.
It is important to note that the units of distance are in studs, and time in seconds. The scaling between meters and studs is 3.28 studs/meter. In-game, the unit of distance is meters, so convert accordingly.
Additionally, reducing projectile time is not the only benefit of Dexterity and Range, but it’s a valuable tool to determine the best allocation between Dexterity and Range to maximize hit consistency and effective damage throughput in general.




