Note: This analysis is better read through the Google Document. Heavy formatting constraints here.
1. Summary
This document explores optimal gear stat allocations for power and defense and their applications in PVP combat. There is currently no mutually agreed upon objective measurement of optimality in terms of power and defense ratios. A continuous and analytical model of a player’s health and damage, accounting for regeneration, in a fight is used with a Nash equilibrium to find the best allocation of power and defense to gain greater survivability than the opponent. The results determined that with appropriate initial values of efficiency points, the ratio of power to defense that maximizes survivability is roughly 1:6. Due to discrete operations and other factors, a higher defense allocation may be more desirable. Regardless of the player’s choice of class, this will serve as valuable information in build optimization, particularly in high skill levels.
Table of Contents
- Summary
- Baseline Assumptions
- Combat Model
- Primary and Secondary Stats (substats)
- Allocation Constraints
- Objective Metric
- Regeneration
- Effective Damage
- Theoretic Formulation
- Analytical Solution of the Nash Equilibrium
- Interpretation
- Robustness and Sensitivity Analysis
- Numerical Tables
- Conclusion
2. Baseline Assumptions
- This focuses on high skill PVP scenarios. Both players are allowed to modify their power and defense allocation.
- Both players are given equal amounts of Efficiency Points to allocate.
- While classes differ in mechanics and affinities, the game is balanced to where effective DPS throughput is comparable at high skill.
- Therefore, this model assumes trading hits on regular intervals.
- This assumes that both players without substats already have a high level of consistency with their combat.
- This optimization problem involves a continuous model, which serves as an accurate approximation of real combat.
- This analysis does not model server latency or inherently asymmetric class matchups.
3. Combat Model
Combat proceeds through trading hits. Each player trades hits until one player’s health reaches 0. Damage scales on Power. A player’s total health consists of Base HP and Defense.
The time between attacks determines the regular intervals on which hits occur. This introduces the factor of regeneration.
Players regenerate a fixed percentage of their base health per second. As a result, longer fights allow more total regeneration. This will later be introduced as effective damage reduction.
4. Primary and Secondary Stats (substats)
Power and defense are fundamental to controlling the core resource exchange of combat—that being damage and health. Regardless of player skill, power and defense will always matter.
There are substats to consider, notably Size, Dexterity and Range. These are consistency stats. They increase the probability that attacks meet the target, reduce the difficulty of execution, and expand the window of combat freedom a class is privy to.
As player skill increases, baseline consistency also increases. At high skill levels, the marginal benefit of additional consistency through substats diminishes, while the benefits of power and defense remain linear.
Because this analysis targets high-skilled combat, these consistency stats are secondary modifiers rather than decision variables. Small amounts may be inherently given through the armor that a player is using (Sunken gear, Atlantean modifiers, Arcmancers), and larger investments may be required for certain moves to be viable, thereby increasing damage more than what power would give. However, regardless of class and needed substats, see Baseline Assumption 3.
In many cases, small amounts of substats can be more beneficial than an equally small amount of power. Beyond this, Power and Defense dominate build optimization.
In practice, once a player achieves a sufficient baseline consistency, further investment in these substats produces smaller gains than their equivalent investment in Power or Defense. As a result, the optimal allocation of fundamental stats remains predictive across a wide range of classes and playstyles.
This classification allows the model to be reduced to its fundamental decision variables without disregarding the practical role of substats.
5. Allocation Constraints
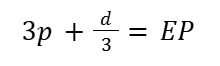
Efficiency Points (EP) is a metric used to balance gears. 1 Power = 3 EP = 9 Defense. In a build optimization sense, this means that to modify a build to gain 382 Defense (Fair Defense Amulet), an equivalent ~43 Power (Fair Power Amulet) will need to be exchanged.
This means that Power and Defense do not scale at the same rate. Increasing Power requires a significantly larger EP investment, while Defense is comparatively cheaper.
This relationship can be expressed as the constraint

where p denotes Power and d denotes Defense.
Since the total allocation (EP) is fixed, choosing Power uniquely determines Defense. Solving for Defense yields

As a result, the player’s choice of allocation can be represented by a single continuous variable. Any increase in Power comes at the cost of a decrease in Defense. Therefore, players are not choosing absolute values, but rather a position along a tradeoff curve between damage and survivability.
This constraint defines the search space over which optimal stat allocation will be analyzed.
6. Objective Metric
To analyze stat allocation formally, combat outcomes (win or lose) will be reduced to a quantitatively measurable objective.
Hits To Kill (HTK) is defined as the number of successful hits required for one player to defeat another. For a player with total health H, facing an opponent dealing damage D per hit, HTK is given by:

Decimal values are allowed, and this is an expectation, not a literal count.
HTK represents survivability. Larger values correspond to longer survival. Because both players are evaluated using the same metric, advantage can be determined by comparing their respective HTK values. A player survives longer and therefore is victorious if their HTK against the opponent exceeds the opponent’s HTK against them.
Although hits occur discretely in real combat scenarios, fractional HTK values are meaningful as they represent the expected outcome over repeated encounters. This allows stat allocation to be modeled as a continuous optimization problem.
HTK directly links Power, Defense, and regeneration through combat. As such, it provides a minimal objective for analyzing optimal stat allocations. With HTK as the objective, the optimization problem reduces to maximizing survivability under a fixed allocation constraint.
7. Regeneration
In addition to base health and Defense, regeneration increases the total health continuously over time. Regeneration restores 0.75% of the player’s base health per second, independent of Defense or Power.
Intuitively, regeneration may be thought of as additional effective health over a given time span. However, this is incorrect and raises looping concerns.
Regeneration cannot be added to health without simultaneously solving for fight duration, leading to circular dependence.
Regeneration introduces a feedback loop:
- Higher damage shortens the fight
- Shorter fights reduce regeneration
- Lower regeneration further amplifies the effect of damage as a portion of total health
Conversely, lower damage prolongs the fight and increases total regeneration.
Because regeneration occurs between hits, the effective number of hits required to defeat an opponent increases with fight duration. As a result, HTK is no longer a simple ratio of health to damage.
Alternatively, regeneration can be viewed as reducing the net damage taken over time. However, this reduction depends on how long the fight lasts, and therefore on both players’ stat allocations.
Regeneration rewards longer engagements. At the same time, it increases the importance of damage by allowing players to deny regeneration through faster kills. Regeneration therefore couples damage, survivability and time, requiring a careful formulation of the HTK objective.
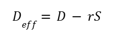
8. Effective Damage
In this model, combat proceeds in discrete intervals, and successful hits occur at approximately regular time intervals of S seconds. Between consecutive hits, regeneration restores health continuously.
Let the regeneration rate be r health per second. Over a single hit interval, the total regenerated health is therefore rS.
Each successful hit deals damage D, but a portion of this damage is offset by regeneration occurring before the next hit. The net effective damage Deff applied per hit is therefore

It is worthy to note that this is effectively continuous DPS, where dividing both sides by S would yield such a result. The models are mathematically equivalent, but the current formulation more intuitively handles regeneration and models real fights.
Effective damage represents the amount of health removed per hit, accounting for regeneration. As long as Deff>0, the fight converges toward a conclusion.
Using effective damage, hits to kill can be rewritten as

This incorporates regeneration without explicitly depending on fight duration. Unlike treating regeneration as additional health, this formulation does not require prior knowledge of fight length. Regeneration is accounted for between hits, eliminating a looping dependence between damage and duration. The effective damage representation is mathematically equivalent to a solution for total regenerated health over the fight.
9. Theoretic Formulation
In competitive PVP, a player’s optimal stat allocation depends not only on game mechanics, but also on the opponent’s allocation.
Each player’s strategy is defined by a choice of Power p, with Defense determined by the allocation constraint. The feasible decision space is therefore a continuous interval of admissible Power values.
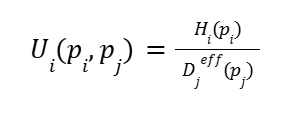
A player’s payoff is defined as their relative survivability, measured by hits to kill. Given player i with health Hi facing opponent j dealing effective damage Djeff, the payoff is
Player i survives longer than player j if Ui>Uj. Because both players are evaluated using the same metric, this comparison fully determines the winner under this model.
Given an opponent’s allocation, a player’s best response is the allocation that maximizes their payoff. In general, this best response depends continuously on the opponent’s choice.
A Nash equilibrium is a pair of allocations such that neither player can improve their payoff by changing their own allocation.
In a competitive environment where players can adapt their builds over time, unstable allocations are eliminated. Nash equilibrium therefore represents a stable outcome of optimality. The problem reduces to finding allocations where both players’ choices are mutual best responses.
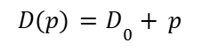
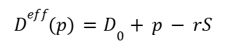
10. Analytical Solution of the Nash Equilibrium
Let a player’s Power allocation be denoted by p, base health H0, and base damage D0. Under the allocation constraint, Defense is given by

Total health is therefore

Damage per hit is linear in Power

Incorporating regeneration through the effective damage formulation yields

The payoff to player i, given opponent allocation pj, is
Given an opponent allocation pj, player i chooses pi to maximize Ui. Since the denominator is independent of pi, this reduces to maximizing the numerator.
Player i survives longer than player j if Ui>Uj, leading to the equation
Rearranging yields the survival advantage condition

Attention goes to symmetric equilibria, where both players choose the same allocation p*. This is appropriate given the symmetry of rules and objectives.
In a symmetric equilibrium, each player chooses p to maximize

Substituting explicit form yields

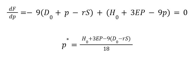
Differentiating wrt. p and setting the derivative equal to zero gives
where p* denotes optimal Power allocation.
Because F(p) is concave down, the solution corresponds to a maximum. The equilibrium lies strictly between full Power and full Defense, confirming that mixed allocation is optimal.
The equilibrium balances marginal gains in damage against marginal losses in survivability. Increasing Power improves damage but reduces health, while increasing Defense does the opposite. The optimal point equalizes these effects.
The Nash equilibrium therefore corresponds to a unique mixed allocation of Power and Defense that maximizes symmetric survivability.
11. Interpretation
The equilibrium allocation involves a non-extreme mix of Power and Defense. This arises because increasing Power improves damage output at the cost of survivability, while increasing Defense improves survivability at the cost of damage.
At the equilibrium point, the marginal benefit of increasing Power is exactly offset by the marginal loss in survivability due to reduced Defense. Any deviation in either direction decreases the overall objective.
12. Robustness and Sensitivity Analysis
- Varying the total allocation budget (EP) shifts the equilibrium smoothly rather than discontinuously. As the total EP increases, both optimal Power and Defense increase proportionally, preserving the mixed allocation.
- Increasing regeneration rate (or, lower time between hits) shifts the equilibrium toward Defense, while increasing the time between hits increases the amount of regeneration occurring between hits, reducing the value of defense and favoring higher Power.
- Changes in base health or base damage act as offsets that translate the equilibrium without altering its shape.
- Small deviations from the equilibrium allocation result in small decreases in relative survivability.
- Although the analysis treats allocations as continuous, discretization only produces minor rounding effects. The equilibrium remains a strong predictor of optimality.
- Because the equilibrium depends on relative survivability rather than specific attack chains, it remains predictive among balanced classes. Class balancing primarily affects effective DPS, which the model handles well and does not invalidate the result.
The equilibrium allocation is robust to reasonable variations in parameters, supporting its relevance across a wide range of PVP scenarios.
13. Numerical Tables
While the analytical solution structurally solves the equilibrium, numerical examples help demonstrate how the optimal allocation varies with seconds between attacks S and EP allocated towards Power and Defense. The following table assumes Level, L=175.

Table 1. Optimal Power and Defense Allocations with Varying EP and S
| EP | H0 | D0 | r | S | p* | d* | d*:p* ratio |
|---|---|---|---|---|---|---|---|
| 700 | 1666 | 194 | 12.495 | 4 | 137.21 | 865.09 | 6.30 |
| 700 | 1666 | 194 | 12.495 | 5 | 143.46 | 808.86 | 5.64 |
| 700 | 1666 | 194 | 12.495 | 6 | 149.71 | 752.64 | 5.03 |
| 700 | 1666 | 194 | 12.495 | 7 | 155.95 | 696.41 | 4.47 |
| 700 | 1666 | 194 | 12.495 | 8 | 162.20 | 640.18 | 3.95 |
| 700 | 1666 | 194 | 12.495 | 9 | 168.45 | 583.95 | 3.47 |
| 700 | 1666 | 194 | 12.495 | 10 | 174.70 | 527.73 | 3.02 |
| 750 | 1666 | 194 | 12.495 | 4 | 145.55 | 940.09 | 6.46 |
| 750 | 1666 | 194 | 12.495 | 5 | 151.79 | 883.86 | 5.82 |
| 750 | 1666 | 194 | 12.495 | 6 | 158.04 | 827.64 | 5.24 |
| 750 | 1666 | 194 | 12.495 | 7 | 164.29 | 771.41 | 4.70 |
| 750 | 1666 | 194 | 12.495 | 8 | 170.54 | 715.18 | 4.19 |
| 750 | 1666 | 194 | 12.495 | 9 | 176.78 | 658.95 | 3.73 |
| 750 | 1666 | 194 | 12.495 | 10 | 183.03 | 602.73 | 3.29 |
| 800 | 1666 | 194 | 12.495 | 4 | 153.88 | 1015.09 | 6.60 |
| 800 | 1666 | 194 | 12.495 | 5 | 160.13 | 958.86 | 5.99 |
| 800 | 1666 | 194 | 12.495 | 6 | 166.37 | 902.64 | 5.43 |
| 800 | 1666 | 194 | 12.495 | 7 | 172.62 | 846.41 | 4.90 |
| 800 | 1666 | 194 | 12.495 | 8 | 178.87 | 790.18 | 4.42 |
| 800 | 1666 | 194 | 12.495 | 9 | 185.12 | 733.95 | 3.96 |
| 800 | 1666 | 194 | 12.495 | 10 | 191.36 | 677.73 | 3.54 |
| 850 | 1666 | 194 | 12.495 | 4 | 162.21 | 1090.09 | 6.72 |
| 850 | 1666 | 194 | 12.495 | 5 | 168.46 | 1033.86 | 6.14 |
| 850 | 1666 | 194 | 12.495 | 6 | 174.71 | 977.64 | 5.60 |
| 850 | 1666 | 194 | 12.495 | 7 | 180.95 | 921.41 | 5.09 |
| 850 | 1666 | 194 | 12.495 | 8 | 187.20 | 865.18 | 4.62 |
| 850 | 1666 | 194 | 12.495 | 9 | 193.45 | 808.95 | 4.18 |
| 850 | 1666 | 194 | 12.495 | 10 | 199.70 | 752.73 | 3.77 |
| 900 | 1666 | 194 | 12.495 | 4 | 170.55 | 1165.09 | 6.83 |
| 900 | 1666 | 194 | 12.495 | 5 | 176.79 | 1108.86 | 6.27 |
| 900 | 1666 | 194 | 12.495 | 6 | 183.04 | 1052.64 | 5.75 |
| 900 | 1666 | 194 | 12.495 | 7 | 189.29 | 996.41 | 5.26 |
| 900 | 1666 | 194 | 12.495 | 8 | 195.54 | 940.18 | 4.81 |
| 900 | 1666 | 194 | 12.495 | 9 | 201.78 | 883.95 | 4.38 |
| 900 | 1666 | 194 | 12.495 | 10 | 208.03 | 827.73 | 3.98 |
| 950 | 1666 | 194 | 12.495 | 4 | 178.88 | 1240.09 | 6.93 |
| 950 | 1666 | 194 | 12.495 | 5 | 185.13 | 1183.86 | 6.39 |
| 950 | 1666 | 194 | 12.495 | 6 | 191.37 | 1127.64 | 5.89 |
| 950 | 1666 | 194 | 12.495 | 7 | 197.62 | 1071.41 | 5.42 |
| 950 | 1666 | 194 | 12.495 | 8 | 203.87 | 1015.18 | 4.98 |
| 950 | 1666 | 194 | 12.495 | 9 | 210.12 | 958.95 | 4.56 |
| 950 | 1666 | 194 | 12.495 | 10 | 216.36 | 902.73 | 4.17 |
| 1000 | 1666 | 194 | 12.495 | 4 | 187.21 | 1315.09 | 7.02 |
| 1000 | 1666 | 194 | 12.495 | 5 | 193.46 | 1258.86 | 6.51 |
| 1000 | 1666 | 194 | 12.495 | 6 | 199.71 | 1202.64 | 6.02 |
| 1000 | 1666 | 194 | 12.495 | 7 | 205.95 | 1146.41 | 5.57 |
| 1000 | 1666 | 194 | 12.495 | 8 | 212.20 | 1090.18 | 5.14 |
| 1000 | 1666 | 194 | 12.495 | 9 | 218.45 | 1033.95 | 4.73 |
| 1000 | 1666 | 194 | 12.495 | 10 | 224.70 | 977.73 | 4.35 |
| 1050 | 1666 | 194 | 12.495 | 4 | 195.55 | 1390.09 | 7.11 |
| 1050 | 1666 | 194 | 12.495 | 5 | 201.79 | 1333.86 | 6.61 |
| 1050 | 1666 | 194 | 12.495 | 6 | 208.04 | 1277.64 | 6.14 |
| 1050 | 1666 | 194 | 12.495 | 7 | 214.29 | 1221.41 | 5.70 |
| 1050 | 1666 | 194 | 12.495 | 8 | 220.54 | 1165.18 | 5.28 |
| 1050 | 1666 | 194 | 12.495 | 9 | 226.78 | 1108.95 | 4.89 |
| 1050 | 1666 | 194 | 12.495 | 10 | 233.03 | 1052.73 | 4.52 |
14. Conclusion
This work analyzed optimal stat allocation between Power and Defense in a competitive PVP environment with regeneration and EP constraints.
By modelling combat through hits to kill and incorporating regeneration through effective damage, an analytical solution for the optimal allocation of Power and Defense was derived, maximizing relative survivability.
For high-skill PVP, Power and Defense dominate optimization. Substats may be necessary in a few cases, but large deviations from the equilibrium can have large negative effects if done inappropriately.
While equilibrium allocation maximized expected survivability in an ideal combat scenario, real combat often includes bursts of damage and other unexpected factors. In many cases, a higher allocation of Defense or Power may be preferred. While the results are not designed for more than two players fighting, it can be applied for such scenarios, and optimality may change.
In a situation where the player is being jumped, the first hit advantage the opponent gains scales inversely with max health. Unbalanced stats become weaker during the progression of the fight, however the advantage reduced more than outweighs it. There exists the risk when allocating more Power to jump others, it has a disadvantage when being jumped, and jumping while having more Defense is less effective.
This optimal Power and Defense allocation represents a stable baseline for which competitive build optimization is conducted.



